找回密码
 立即注册
搜索
热搜: 活动 交友 discuz
查看: 30|回复: 29

把一根烟头埋进土里,然后认认真真等它十年

  [复制链接]
发表于 昨天 00:48 | 显示全部楼层 |阅读模式
2026-04-14 12:01 发布于:北京市


被扔掉的那一刻,有些垃圾的故事就结束了。
塑料袋被风卷进树梢,易拉罐滚进水沟,外卖盒堆在垃圾桶旁。我们偶尔会想起它们,在看到某张触目惊心的污染照片时皱一下眉头,然后继续刷手机。
但有一种垃圾不一样。它太小了,小到你低头都不一定能注意到。它太轻了,轻到一阵风就能把它吹跑。它太常见了,常见到已经成了城市地面的一部分,就像落叶或灰尘一样理所当然。
烟蒂。
全球每年大约有四万五千亿根烟蒂被扔进环境。这个数字有点大,所以换一种说法,你正在阅读这句话的2秒钟里,全世界又有近30万根烟蒂落地。在某些城市的街角,每平方米地面上能找到130根。在某些海滩上,每100米就能捡到1600根。政府清理,志愿者捡拾,环保组织呼吁,但烟蒂似乎永远捡不完。
然后呢?烟蒂落地之后去了哪里?它会分解吗?需要多久?会发生什么变化?若干年之后它还在吗?
2015年,意大利那不勒斯费德里科二世大学的生态学研究者Giuliano Bonanomi等人想去找找答案。

 楼主| 发表于 昨天 00:49 | 显示全部楼层
研究方法很笨拙,把烟蒂埋进土里,然后等十年。
烟蒂,都是烟蒂|参考文献1

 楼主| 发表于 昨天 00:49 | 显示全部楼层
一根烟蒂多久能烂掉?
在讲述这十年发生了什么之前,需要先纠正一个可能的误解。
大多数人以为烟蒂的滤嘴是棉花或纸做的,甚至很多吸烟者也这么认为,他们把烟蒂弹落在地上时,心里觉得“反正也会烂掉”。
不会的。
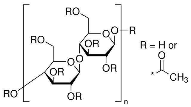
烟蒂滤嘴的主要材料叫醋酸纤维素(Cellulose acetate)。名字里虽然带“纤维素”三个字,但它是一种货真价实的塑料。原本来自植物的天然纤维素在工厂里经过化学处理,每个葡萄糖单元上的羟基被乙酰基取代,大约三个里面换掉两个半。这个过程叫乙酰化,它赋予了材料优异的过滤性能,也让它变得异常顽固。每一个滤嘴里,紧密排列着大约一万五千根这种塑料微纤维。

 楼主| 发表于 昨天 00:50 | 显示全部楼层
醋酸纤维素的重复单元结构式,其中R代表乙酰基或氢|sigma-aldrich.cnreagent.com

 楼主| 发表于 昨天 00:50 | 显示全部楼层
更关键的是,这团塑料纤维不是干净的。吸烟的过程中,烟气穿过滤嘴,焦油、尼古丁、重金属、多环芳烃、苯、甲醛、丙烯腈……上千种化学物质被截留在纤维之间。一根抽完的烟蒂,本质上是一颗浸满了毒液的微型塑料海绵。
遇到雨水,海绵里的东西就会渗出来。
所以当Bonanomi的团队准备这场实验时,提出的“多久能烂掉”的问题,其实指的是一种强韧的、裹挟着上千种化合物塑料纤维,在微生物、水、阳光和时间的共同作用下,如何缓慢地、不可预测地发生变化。
他们一共准备了一万两千根烟蒂,分成五组,放置在五种环境里,包括实验室无土壤、实验室草地土壤、实验室沙丘土壤、野外沙丘、野外草地。每隔一段时间取出一批,称重、化验、在显微镜下观察、做毒理测试、分析微生物群落、检测挥发性气体。

 楼主| 发表于 昨天 00:50 | 显示全部楼层
第一个月,烟蒂“一生”中毒性最强的时刻
实验开始后的头三十天,所有环境中的烟蒂都迅速减轻了大约20%的重量。这段数据让人乐观,照这个速度,似乎用不了多久烟蒂就能消失。
但这是一个错觉。失去的那20%,几乎全部来自烟蒂最外层,也就是包裹滤嘴的那层薄纸,以及纤维表面容易溶解的化学物质。薄纸是普通纤维素,很多微生物都能将其轻松拿捏。尼古丁等小分子化合物则被水冲走或被微生物迅速代谢。
这就像一颗药丸掉进了水杯,糖衣几秒钟就化了,但糖衣下面那颗硬邦邦的药芯可能纹丝不动。
这是烟蒂“一生”中毒性最强的时刻。它刚被扔下,外衣还没脱完,就忙不迭得向周围释放它的收藏。

 楼主| 发表于 昨天 00:51 | 显示全部楼层
漫长沉默,烟蒂好像进入了某种休眠
从第二个月到第二年年底,曲线变成了一条近乎水平的线。
所有环境中的烟蒂,在这将近两年里只又多损失了约10%到15%的重量。无论是埋在肥沃的公园草地下面,还是躺在贫瘠的海边沙丘上,还是被隔绝在实验室的托盘里不接触土壤,都没区别,分解速度都一样慢。
烟蒂好像进入了某种休眠。
研究团队推测了两个原因,像两把锁互相咬合,把烟蒂锁在了“不可降解”状态。

 楼主| 发表于 昨天 00:51 | 显示全部楼层
一是乙酰基。醋酸纤维素之所以被选做滤嘴材料,正是因为它足够致密、足够稳定。纤维素链上密密麻麻的乙酰基团像一层化学铠甲,挡住了微生物分泌的酶。要想降解这种材料,微生物必须先把乙酰基团一个个拆掉,把铠甲卸下来,才能碰到里面的纤维素。但这个“去乙酰化”的过程,在自然条件下极其缓慢。
二是氮。新鲜烟蒂的碳氮比高达192,这意味着每192份碳才对应1份氮。而微生物要正常工作需要更多的氮。氮是合成蛋白质和酶的必需元素,没有它,微生物就算“看到”了可以吃的纤维素,也没有能力制造足够的酶去分解它。
铠甲太厚,而攻城的士兵又吃不饱。两把锁互相加固,乙酰基挡住了酶,氮的匮乏让微生物无力生产酶。
微生物无事可做,烟蒂无事发生,月复一月。

 楼主| 发表于 昨天 00:51 | 显示全部楼层
大地,拆去了烟蒂的“铠甲”
从第三年开始,沉默被打破了。
那些埋在草地的烟蒂,开始起了变化。研究者注意到一个持续的趋势,草地土壤中的烟蒂,氮含量在稳步上升。碳氮比从192一路下降,逐渐进入了微生物可以高效工作的范围。
氮从哪里来?从土壤里来。
自然界落叶分解时,真菌会将菌丝伸入落叶中,把土壤中的氮顺着菌丝输送到落叶里,供自己和其他微生物使用,就像一个微型的地下管网。

 楼主| 发表于 昨天 00:51 | 显示全部楼层
真菌会将菌丝伸入落叶中,把土壤中的氮顺着菌丝输送到落叶里丨图虫创意

您需要登录后才可以回帖 登录 | 立即注册

本版积分规则

Archiver|手机版|小黑屋|品读家园论坛 ( 鄂ICP备19005928号 )

GMT+8, 2026-4-16 03:05 , Processed in 0.125000 second(s), 20 queries .

Powered by Discuz! X3.5

Copyright © 2001-2026 Tencent Cloud.

快速回复 返回顶部 返回列表